frac
Element
A mathematical fraction.
Example
$ 1/2 < (x+1)/2 $
$ ((x+1)) / 2 = frac(a, b) $

Syntax
This function also has dedicated syntax: Use a slash to turn neighbouring expressions into a fraction. Multiple atoms can be grouped into a single expression using round grouping parentheses. Such parentheses are removed from the output, but you can nest multiple to force them.
Parameters
num
The fraction's numerator.
denom
The fraction's denominator.
style
How the fraction should be laid out.
View example: Styles
$ frac(x, y, style: "vertical") $
$ frac(x, y, style: "skewed") $
$ frac(x, y, style: "horizontal") $

View example: Setting the default
#set math.frac(style: "skewed")
$ a / b $

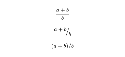
View example: Handling of grouping parentheses
// Grouping parentheses are removed.
#set math.frac(style: "vertical")
$ (a + b) / b $
// Grouping parentheses are removed.
#set math.frac(style: "skewed")
$ (a + b) / b $
// Grouping parentheses are retained.
#set math.frac(style: "horizontal")
$ (a + b) / b $

Variant | Details |
---|---|
"vertical" | Stacked numerator and denominator with a bar. |
"skewed" | Numerator and denominator separated by a slash. |
"horizontal" | Numerator and denominator placed inline and parentheses are not absorbed. |
Default: "vertical"